链表应该是最常见的数据结构之一了,编程中经常使用到,由于其独特的特性,增删和修改都极其高效,但是随机读写却不如数组。在随机读写中,有一种巧妙的方式可以显著提升效率:快慢指针。
快慢指针
在遍历链表是使用步长一大一小的两个指针,因为步长不同,所以在从头遍历时,步长大的相对于步长小的看起来就跑的更“快”,这就是快慢指针了,可以用快慢指针来解决不少链表中的问题。
准备
编程语言使用Java,实现一个简单的链表结构。
1 | // 链表 |
找到链表的中间节点
给定一个链表和其头节点,找到它的中间节点。
解决思路
常规思路是进行两次遍历,第一次遍历取得链表的长度,第二次遍历找到中间节点。但是使用快慢指针,一次遍历就能实现,只需将快指针步长设为2,慢指针步长设为1,当快指针遍历到链表尾指向null时,慢指针恰好指向链表的中点。其实这种方法不仅可以找到链表的中间节点,找到2/3处,或者3/5处的节点也是同理,快慢指针按比例设置步长即可。
代码实现
1 | public <T> Node<T> getMidNode(LinkedNode<T> linkedNode) { |
找到链表倒数第n个节点
给定一个链表和其头节点,找到它的倒数第n个节点。
解决思路
使用快慢指针,先让快指针跑到第n个节点,慢指针指向头节点,然后以同样的速度向后遍历,当快指针遍历到链表尾指向null时,慢指针恰好指向链表的倒数第n个节点。
代码实现
1 | public static <T> Node<T> getLastN(LinkedNode<T> linkedNode, int n) { |
判断链表中是否有环
给定一个链表和其头节点,判断链表中是否存在环。
解决思路
使用快慢指针,将快指针步长设为2,慢指针步长设为1,从头遍历链表,如果快指针和慢指针相遇,那么链表中则存在环,否则无环。这里可以用赛跑类比:有两个人(A和B)比赛跑步,A跑的比B快,如果是在一条直线跑道上比赛,从同一个起点出发,一直跑下去的话,A与B相距一定越来越远。但是如果将跑道换成环形,一直跑下去的话,A一定会再次与B相遇。
代码实现
1 | public static <T> boolean existRing(LinkedNode<T> linkedNode) { |
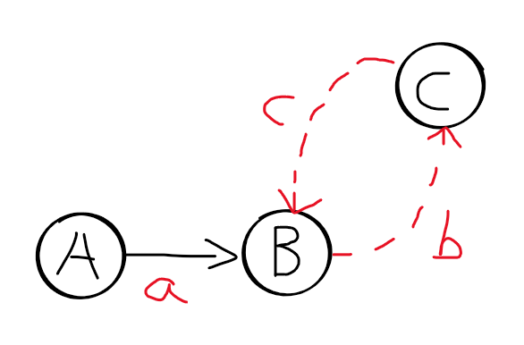
判断链表中是否有环并找出环的入口
给定一个链表和其头节点,判断链表中是否存在环,如果存在环的话,找出环的入口。
解决思路
先使用上面的方法判断出链表中是否有环,假设存在环,并且快指针和慢指针在C节点相遇,A->B长度为a,B->C长度为b,C->B长度为c,那么可以得出:2 (a + b) = a + b + n (b + c),快指针走过的长度为慢指针的两倍,且快指针可能在环中绕了n圈,化简得到:a = n * (b + c) - b,据此分析,可以发现a的长度等于在环中绕n圈再减去b的长度,所以这里可以设置两个指针,一个在A节点,一个在C节点,且以同样的速度前行,两个指针再次相遇的节点即是环的入口。

代码实现
1 | public static <T> Node<T> findEntrance(LinkedNode<T> linkedNode) { |
参考: